本文档以实例为基础,通过对机械系统部件构成及运行情况的计算,得出必要的电机容量参数,方便客户选择合适的伺服电机。容量选择计算,主要流程如图1所示,主要计算项目包括:
负载惯量(机械负载系统的惯量)
负载转矩(驱动机械所需转矩)
运行模式(加/减速时间)

图1 容量选择流程图
容量选择流
![]()
计算对于电机轴换算的机械系统负载惯量;
计算电机旋转时随转动部分的惯量,并求出总和;
![]()
计算对于电机轴换算的负载转矩;
![]()
电机负载惯量(
)
![]()
m 一般选择在(0 ~ 30),视运行场景而定(运动部件移动速度快数值可以选择小点,运动部件移动速度缓慢数值可以选择大点);
)
为安全系数
根据临时选定电机参数计算出最短加速/减速时间
最短加速/减速时间:
已知最短加速/减速时间
加速/减速转矩:


![]()
由运动模式,周期运行时间和速度关系如图2,输出转矩绘制输出转矩特性曲线如图3所示。

1)计算实际转矩(
2)比较实际转矩和额定转矩
如果实际转矩小于额定转矩,则符合运转需求,可以购买使用。
如果实际转矩大于额定转矩,则重新审核方案。
3)电机方案重新审核
l加大电机容量
l延长运转频率(周期时间)
l允许范围内,将加速/减速时间加长一些
l当旋转速度有余量时,加大减速比
l当升降机型停止时间长时,加机型制动
l高频率运行时,尽量加大减速比,减少惯量矩

图4 滚珠丝杆模型图

运转模式

图5 模型台面移动速度与时间关系图

u计算负载惯量(
)
丝杆质量:

丝杆惯量:

台面负载惯量:

负载总惯量:

u计算负载转矩(TL)

u临时选定电机容量
假设惯量比: m = 15
电机额定惯量:

电机额定力矩:

查电机参数列表,初步选择电机为 60BL A20-30(200W)型号电机。
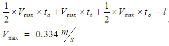
u计算最短的加速/减速时间
已知移动距离0.3m,求得最大速度![]()

换算成电机转速![]()

![]()
最短加减速时间:

知最短加减速时间, 求加减速转矩
知最短加减速时间
,求加减速转矩

u绘制转矩特性曲线

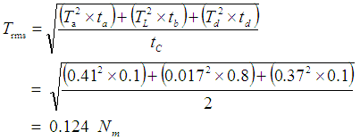
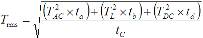
u 计算实际转矩(Trms)

u实际转矩对比预选电机额定力矩
(说明预选电机各项参数指标在合理使用范围内,预选电机60BLA20-30(200W)型号电机可以使用。)
附录
<参考>



附录
|
|
|
|
|
|
|
|
|
|
|
|
附录



















共0条 [查看全部] 网友评论